Abstract: The article examines the impact of repeated processing of polymeric materials on their molecular weight, rheological, thermal, and mechanical properties. The main processes of thermo- and mechanic degradation accompanying polymer recycling are analyzed, as well as changes in the crystallinity and thermal stability of secondary materials. It is shown that the properties of recyclates largely depend on the origin of the raw material: industrial polymers are characterized by greater uniformity and stability of properties compared to materials derived from household waste. Based on an analysis of recent studies, methods for stabilizing and modifying secondary polymers are considered, including the use of chain extenders, compatibilizers, elastomeric additives, and reinforcing fillers, which partially compensate for property degradation and expand the application range of recyclates.
Keywords: recycled polymer material, recycling, polymer reprocessing, degradation.
Введение
В современном мире сохраняется высокая актуальность проблемы вторичной переработки полимерного сырья, особенно крупнотоннажных материалов, таких как поливинилхлорид (ПВХ), полипропилен (ПП), полиэтилен (ПЭ) и других. Постоянный рост их выпуска неизбежно приводит к накоплению значительных объёмов пластиковых отходов. Традиционные методы утилизации – сжигание и захоронение – сопровождаются рядом экологических и экономических сложностей: загрязнением окружающей среды, потерей ценных ресурсов и увеличением углеродного следа. В связи с этим промышленность всё активнее обращается к технологиям рециклинга в рамках концепции экономики замкнутого цикла.
Согласно распоряжению Правительства РФ от 25 января 2018 года №84-р, полимерные отходы, частично извлекаемые в процессе обработки твёрдых коммунальных отходов, а также образующиеся в процессе производства и использования изделий из пластика, перспективно использовать в качестве вторичных ресурсов для производства продукции технического назначения.
Применение вторичных полимеров позволяет снизить нагрузку на природные ресурсы и уменьшить себестоимость изделий.
В некоторых обзорах сказано, что полимерные отходы могут выступать источником вторичного сырья не только для гранулятов и, но и для полимер-наполненных бетонов, дорожных покрытий и древесно-полимерных композитов.
Вместе с тем использование рециклатов связано с определёнными технологическими трудностями. При повторной переработке полимерные материалы испытывают термо- и механическую деструкцию, что ведёт к изменению молекулярной массы, ухудшению реологических свойств, снижению механической прочности и стабильности размеров готовых изделий. Эти изменения напрямую отражаются как на параметрах производственных процессов (экструзия, литьё под давлением, термоформование и др.), так и на качестве конечной продукции.
Наибольшим уровнем сбора и переработки характеризуются отходы из полиэтилена – 20%, поливинилхлорида – 10%, полистирола – 12%, полипропилена – 17%, термопластика – 12%. Значительная доля объёмов перерабатываемого пластика приходится на продукцию кратковременного использования: отходы тары, упаковки и упаковочных материалов.
Вторичным сырьем могут являться как отходы потребительского, так и производственного характера. К потребительским отходам относятся использованные изделия полимеров общего назначения, собранных после эксплуатации. К производственным – отходы первичной переработки: в первую очередь бракованные изделия, обрезки пленок и листов, облой (излишки материала непосредственно на изделии). По данным исследований ежегодно образуется около 240 миллионов тонн пластиковых отходов, большую часть которых составляют потребительские товары. В данный момент сохраняется тенденция к сохранению значительной доли захороненного пластика. Таблица 1 отражает мировое производство пластика и характеристику отходов по данным, опубликованным на 2025 год.
Таблица 1
Глобальные показатели образования и обращения пластиковых отходов
| № | Показатель | Значение, млн т |
| 1 | Общее образование пластиковых отходов в мире | 267,68 |
| 2 | Переработка пластиковых отходов | 37,96 |
| 3 | Термическая обработка пластиковых отходов | 89,99 |
| 4 | Захоронение пластиковых отходов на полигонах | 103,10 |
| 5 | Неуправляемые утечки | 29,60 |
Изучение влияния вторичного сырья на свойства полимеров и технологические показатели переработки остаётся актуальной задачей. Текущие исследования направлены на выявление закономерностей изменения свойств материалов, определение оптимальных долей вторичных компонентов, а также поиск способов стабилизации качества продукции – от использования модификаторов до совершенствования методов переработки.
Эксперимент
Вторичные полимеры, как правило, демонстрируют изменения в показателях вязкости и текучести расплава (ПТР) в следствие термомеханической деградации или сшивании полимерных цепей. Так, для вторичных смесей полиэтилена и полипропилена отмечено смещение кривых зависимости вязкости от частоты сдвига: с ростом частоты наблюдается выраженное псевдопластическое поведение, а показатель степени течения n возрастает. Это отражено на графиках реологических зависимостей (рис. 1).
Увеличение доли вторичного полиэтилена в смесях с ПП сопровождается изменением комплексной вязкости – при низких частотах осцилляции (0,1 Гц) вязкость возрастает из-за структурирования и слабой совместимости фаз, а при высоких частотах (100 Гц) – снижается вследствие разрушения межфазных связей. Это указывает на неоднородность расплава и ограниченную перерабатываемость вторичных смесей, что может приводить к нестабильности технологического процесса и колебаниям механических свойств готовых изделий.

Рисунок 1. Зависимость комплексной вязкости расплава смеси ПП с ПВД-20 (1) и ПНД-276 (2), определенная при частоте осцилляции 0,1 Гц (a) и 100 Гц (b), от соотношения полимеров в смеси
Аналогичные закономерности установлены и в других исследованиях. Для полиэтилентерефталата (ПЭТ) отмечено увеличение показателя текучести расплава (ПТР) с 20,7 ± 0,3 до 36,5 ± 0,4 г/10 мин при переходе от первичного к полностью вторичному материалу, что свидетельствует о снижении вязкости расплава и укорочении макромолекулярных цепей.
Для полиолефинов наблюдается разнонаправленное изменение ПТР: у полиэтилена значение уменьшается с 2,19 до 0,75 г/10 мин (–65 %) вследствие процессов сшивания, тогда как у полипропилена, напротив, возрастает с 8,25 до 11,49 г/10 мин (+39 %) в результате деструкции цепей.
Для большинства вторично переработанных полимеров характерно снижение средневесовой молекулярной массы (Mw) и изменение полидисперсности. У ПЭТ Mw уменьшается с 53 800 до 44 900 г/моль, а полидисперсность сужается с 1,71 до 1,54, что отражает разрушение длинных цепей и перераспределение молекулярных фракций. Аналогичные процессы деструкции подтверждены для ПВХ-композиций: дегидрохлорирование приводит к укорочению цепей и снижению термостабильности.
Многократная экструзия и переработка сопровождаются изменением соотношения аморфных и кристаллических областей. После нескольких циклов обработки многослойные материалы теряют структурную однородность: на поверхности формируются шероховатости, а относительное удлинение при разрыве снижается более чем на 30%. Степень кристалличности ПЭТ увеличивается с 32,9 % до 36,6 %, что обусловлено рекристаллизацией укороченных цепей.
Результаты термогравиметрического анализа (TGA) и дифференциальной сканирующей калориметрии (DSC) показывают снижение температуры начала деструкции и изменение температуры стеклования (Tg) у вторичных материалов. Для ПВХ отмечено смещение пика деструкции на 15–20 °C в область более низких температур по сравнению с первичным сырьём, что связано с дегидрохлорированием. Для ПЭТ фиксируется незначительное уменьшение температуры плавления – с 247 до 244 °C, что подтверждает наличие укороченных цепей и повышение доли кристаллитов.
Сводные отклонения представлены в таблице 2.
Таблица 2
Сводные отклонения
| Показатель | Характер отклонения вторичного сырья |
| Вязкость / ПТР | Изменяется от +40 % до −65 % в зависимости от полимера |
| Mw | Снижение на 10–20 % (ПЭТ), изменчивость для полиолефинов |
| Кристалличность | Рост на 3–5 % (ПЭТ), снижение однородности в многослойных структурах |
| Термостабильность | Снижение температуры деструкции на 15–20 °C |
| Механическая прочность | Падение удлинения на 30–40 %, рост хрупкости |
Таким образом, в сравнении с первичными полимерами, вторичные материалы характеризуются снижением молекулярной массы, изменением реологических параметров, повышенной кристалличностью, ухудшением термостабильности и неоднородной структурой. Эти отклонения обусловлены совокупным воздействием термо- и механодеструкции, а также неоднородностью состава рециклата. Количественные данные из зарубежных источников подтверждают тенденции, выявленные отечественными исследователями, и позволяют наглядно сопоставить масштаб изменения ключевых характеристик полимерного сырья.
В ряде случаев наблюдается возможность сохранения или даже улучшения отдельных характеристик при использовании специальных методов компаундирования и модификации, например, за счёт добавления стабилизаторов и наполнителей.
Примером технологического подхода к стабилизации свойств вторичного полимерного сырья является процесс, описанный в международной патентной заявке WO 2025/071544 A1. В данном изобретении переработка пластиковых отходов осуществляется с использованием контролируемых стадий сортировки, измельчения, плавления и компаундирования, а также подбора добавок, обеспечивающих формирование вторичного материала с улучшенными механическими характеристиками. Предлагаемый подход направлен на повышение однородности и воспроизводимости свойств рециклатов без изменения их химической природы, что особенно важно при переработке смешанных и неоднородных потоков пластиковых отходов.
В исследовании венгерских ученых «Разработка инженерного материала с повышенной ударной вязкостью и термостойкостью из вторичного ПЭТ» отмечено улучшение свойств переработанного полиэтилентерефталата (вторичного ПЭТ). Для модификации использовали реакционноспособный эластомер этилен-бутил-акрилат-глицидилметакрилат (ЭБАГМ) в количестве 5–15 %. Смеси подвергали отжигу (посткристаллизации) при 150 °C в течение 0–180 с, чтобы повысить ударную прочность и термостойкость.
Авторы показали, что молекулы ПЭТ, химически связанные с ЭБАГМ, формируют жёсткую аморфную фазу (ЖАФ), повышающую прочность и термостабильность материала. При оптимальной обработке (15 % ЭБАГМ, 180 с при 150 °C) получен материал с пятикратным увеличением ударной вязкости и пятидесятикратным ростом теплостойкости по сравнению с исходным ПЭТ (рис. 2, 3). Размер и распределение частиц эластомера не менялись после кристаллизации, улучшения связаны с ростом кристалличности (18 %) и перераспределением фаз.

Рисунок 2. Зависимость ударной вязкости по Изоду от времени отжига для смесей вторичного ПЭТ с различным содержанием эластомера ЭБАГМ (0–15 %)

Рисунок 3. Изменение модуля упругости в зависимости от времени отжига для смесей вторичного ПЭТ с различным содержанием эластомера ЭБАГМ (0–15 %): a – при 23 °C, b – при 90 °C
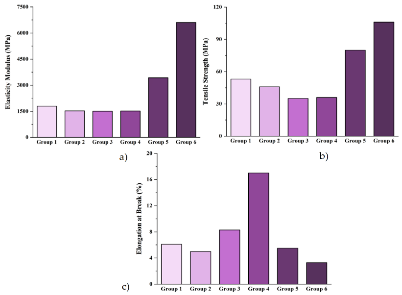
В другом исследовании «Повышение механических и термических свойств смесей вторичных полиамид-6 и полипропилена» рассматривается разработка композиционного материала на основе переработанных полимеров. Для улучшения свойств вторичных полиамид-6 (ПА6) и полипропилена (ПП) авторы применили три подхода: добавление удлинителя цепей (эпоксидного сополимера Joncryl), совместителя (ПП-г-МАН – полипропилен с привитым малеиновым ангидридом) и армирование короткими углеродными волокнами длиной около 6 мм. Смеси формовали методом экструзии и литья под давлением; шесть групп образцов различались по содержанию модификаторов и волокна (табл 3.).
Таблица 3
Состав исследованных образцов (% по массе)
| Группа | Вторичный ПА6 | Удлинитель цепей (CE) | Вторичный ПП | Совместитель (ПП-г-МАН) | Углеродное волокно (УВ) |
| 1 | 100 | – | – | – | – |
| 2 | 70 | – | 30 | – | – |
| 3 | 67,5 | – | 30 | 2,5 | – |
| 4 | 67,5 (в т. ч. 0,2 CE) | 0,2 | 30 | 2,5 | – |
| 5 | 67,5 (в т. ч. 0,2 CE) | 0,2 | 30 | 2,5 | 10 |
| 6 | 67,5 (в т. ч. 0,2 CE) | 0,2 | 30 | 2,5 | 20 |
Эксперименты показали, что удлинитель цепей восстанавливает молекулярную массу и улучшает сцепление фаз ПА6 и ПП, а углеродное волокно придаёт жёсткость и теплостойкость. При оптимальном составе (0,2 % удлинителя, 2,5 % совместителя, 10–20 % волокна) материал продемонстрировал рост модуля упругости до 6,6 ГПа, прочности на растяжение до 106 МПа, ударной вязкости до 6,8 кДж/м² и температуры тепловой деформации до 186 °C (рис. 5, 6).

Рисунок 5. Показатели температуры тепловой деформации

Рисунок 6. Механические свойства композитов на основе смеси ПА6/ПП в зависимости от состава: a – модуль упругости при растяжении, МПа; b – предел прочности при растяжении, МПа; c – относительное удлинение при разрыве
В итоге предложена эффективная технология модификации вторичных полимеров, позволяющая получать инженерные композиции с высокой прочностью и термостойкостью, пригодные для технических изделий и поддерживающие принципы циркулярной экономики.
Сырьё, извлекаемое из бытовых пластиковых отходов, отличается выраженной неоднородностью и значительной степенью деградации по сравнению с материалами промышленного происхождения. Даже при многоступенчатой сортировке и очистке остаются примеси органического и неорганического происхождения, а также остатки полимеров, несовместимых с основной матрицей. Это приводит к существенному изменению молекулярно-массовых характеристик и термостабильности получаемых рециклатов.
Смеси полиэтилена и полипропилена, полученные из бытовых потоков, показывают выраженные признаки термо-окислительной деградации ещё до стадии повторного плавления. Согласно данным экспериментального исследования, при переработке смесей rPE/rPP показатель текучести расплава увеличивается от начальных значений в диапазоне 1,9–2,1 г/10 мин до 3,8–4,5 г/10 мин, что отражает уменьшение средневесовой молекулярной массы и ухудшение вязкоупругих свойств материала. Одновременно фиксируются изменения степени кристалличности и модулей упругости: образцы со всё более выраженной деградацией показывают снижение модуля Юнга до 850–900 МПа, тогда как менее повреждённые композиции сохраняют значения порядка 1100–1200 МПа.
Ещё более показательные данные приведены для ПЭТ, перерабатываемого из бытовых бутылок и лотков. Согласно обширному обзору технологий механической переработки ПЭТ, контаминация бытовых потоков – в том числе включениями полиамидов, поликарбоната и остатков многослойных структур – приводит к заметному снижению молекулярной массы и росту полидисперсности. Даже в условиях оптимизированной мойки и сушки снижение Mw на 12–18 % считается типичным. Кроме того, при многократной переработке ПЭТ наблюдается снижение температуры плавления на 2–4 °C и смещение температуры начала деструкции в область более низких значений, что связано с накоплением низкомолекулярных фрагментов и продуктами окисления.
Эти изменения закономерно влияют на механические свойства рециклатов. В материалах бытового происхождения отмечают снижение ударной вязкости на 25–40 % (в зависимости от концентрации примесей), а также уменьшение относительного удлинения при разрыве, что связано как с деградацией цепей, так и с нарушением структуры по границам фаз. Такие данные неоднократно подтверждены при исследовании смесей rPE/rPP, в которых увеличение содержания деградированных компонентов приводит к формированию хрупких областей и к снижению способности материала выдерживать циклические и ударные нагрузки.
Чтобы обобщить воздействие бытового происхождения отходов на свойства полимеров, ниже приведена таблица, в которой сопоставлены ключевые изменения характеристик полиэтилена, полипропилена и полиэтилентерефталата, выявленные в доступных исследованиях открытого доступа. Таблица 4 демонстрирует, какие параметры изменяются наиболее существенно, и служит основой для последующей оценки стабильности рециклатов.
Таблица 4
Изменение свойств полимеров из бытовых отходов
| Параметр | Первичный материал | Вторичный материал (бытовые отходы) | Изменение |
| ПТР PE/PP, г/10 мин | 1,9–2,1 | 3,8–4,5 | Рост в 1,8–2,2 раза |
| Модуль Юнга (смеси PE/PP), МПа | 1100–1200 | 850–900 | Снижение на 20–30 % |
| Mw ПЭТ, относит. | 100 % | –12…–18 % | Падение вследствие деградации |
| Температура плавления ПЭТ, °C | 247–250 | 243–246 | Снижение на 2–4 °C |
| Температура начала деструкции ПЭТ, °C | 390–410 | 360–380 | Снижение на 20–30 °C |
| Ударная вязкость (смеси PE/PP), относит. | 100 % | ~60–75 % | Снижение на 25–40 % |
С учётом приведённых данных можно утверждать, что переработка бытовых полимеров сталкивается не с отдельными, а с системными ограничениями. Влияние загрязнений, различная история эксплуатации изделий и неоднородность первоначального сырья формируют широкий диапазон свойств рециклатов, что требует обязательного контроля состава, применения стабилизаторов и корректировки режимов переработки.
Результаты
Современные исследования в области переработки полимерных отходов демонстрируют ряд устойчивых тенденций. Прежде всего усиливается влияние источника сырья на качество рециклатов: производственные отходы отличаются большей однородностью, тогда как бытовые фракции содержат загрязнения, несовместимые полимеры и демонстрируют более выраженную деградацию свойств.
Второй тенденцией является растущее внимание к молекулярно-массовым и реологическим изменениям, происходящим при повторной переработке. У ПЭТ отмечается существенное снижение молекулярной массы уже после первых циклов переработки, а в полиолефинах проявляется конкуренция процессов разрыва и сшивки цепей, приводящая к разнонаправленным изменениям ПТР.
Третьим направлением развития является акцент на структурные фактъоры, такие как изменение степени кристалличности, фазовая неоднородность и формирование хрупких областей, особенно характерные для смесей бытового происхождения.
Наконец, всё большее значение приобретают методы стабилизации и модификации, позволяющие компенсировать деградацию полимеров. Применение удлинителей цепей, совместителей, эластомеров и армирующих наполнителей обеспечивает значительное повышение механических и термических характеристик рециклатов.
Совокупность этих тенденций отражает переход от простого утилизационного подхода к созданию инженерных вторичных материалов, пригодных для технического применения и соответствующих принципам циркулярной экономики.
Проведённый анализ подтверждает, что повторная переработка полимеров неизбежно сопровождается комплексом изменений на молекулярном, структурном и реологическом уровнях. Наиболее существенное влияние оказывают источники сырья, число циклов переработки и наличие загрязнений, особенно характерных для бытовых полимерных отходов. Эти факторы определяют снижение молекулярной массы, изменение степени кристалличности, ухудшение вязкоупругих характеристик и нестабильность механических свойств рециклатов.
Вместе с тем современные методы модификации и стабилизации – применение удлинителей цепей, совместителей, эластомерных компонентов и армирующих наполнителей – позволяют в значительной степени компенсировать последствия деградации и формировать материалы с улучшенными эксплуатационными параметрами. Их эффективность подтверждается многочисленными исследованиями, демонстрирующими рост прочностных, деформационных и термических характеристик вторичных композиций.
Анализ тенденций развития отрасли показывает переход от простых схем утилизации к созданию инженерных рециклатов, потенциально пригодных для применения в технических изделиях, строительных материалах и элементах инфраструктуры. Реализация таких подходов согласуется с принципами циркулярной экономики и государственной стратегией обращения с отходами, а также способствует снижению экологической нагрузки и экономии первичных ресурсов.
Таким образом, вторичные полимеры при грамотном подборе сырья, контроле технологических параметров и использовании современных способов модификации могут рассматриваться как перспективный материал для ряда промышленных направлений. Дальнейшее развитие технологий сортировки, очистки и компаундирования позволит расширить области применения рециклатов и повысить их конкурентоспособность по отношению к материалам из первичного сырья.
References
1. Аросева А. Г., Островская В. Д., Кирш И. А. Изучение свойств многослойных плёночных материалов в процессе многократной экструзии // Universum: химия и биология : электрон. научн. журн. – 2023. – № 7 (109). – URL: https://7universum.com/ru/nature/archive/item/157432. Bezeraj E., Debrie S., Arraez F., Reyes P., Steenberge P., D’hooge D., Edeleva M. State-of-the-art of industrial PET mechanical recycling: technologies, impact of contamination and guidelines for decision-making // RSC Sustainability. – 2024. – Vol. 3. – P. 1996–2047. 10.1039/D4SU00571F. https://doi.org/10.1039/D4SU00571F
3. Ergun N., Oksuz M., Ekinci A. Enhancing mechanical and thermal performance of recycled PA6/PP blends: Chain extension and carbon fiber reinforcement synergy // Materials. – 2025. – Vol. 18, No. 5. – Art. 1027. https://doi.org/10.3390/ma18051027
4. Geier J., Bredács M., Witschnigg A. и др. Analysis of different polypropylene waste bales: Evaluation of the source material for PP recycling // Waste Management & Research. – 2024. – Т. 42, № 9. – С. 767–775. https://doi.org/10.1177/0734242X241227369
5. Houssini K., Li J., Tan Q. Complexities of the global plastics supply chain revealed in a trade-linked material flow analysis // Communications Earth & Environment. – 2025. – Vol. 6. – Art. 257. https://doi.org/10.1038/s43247-025-02169-5
6. Joseph T. M., Seitkhan A., Ahmadi Z. и др. Polyethylene terephthalate (PET) recycling: A review // Case Studies in Chemical and Environmental Engineering: электрон. журн. – 2024. – URL: https://www.sciencedirect.com/journal/case-studies-in-chemical-and-environmental-engineering. https://doi.org/10.1016/j.cscee.2024.100673
7. Лаздин Р. Ю., Захаров В. П., Шуршина А. С., Кулиш Е. И. Оценка реологического поведения вторичного полимерного сырья в условиях, соответствующих переработке полимеров методом экструзии и литья под давлением // Письма о материалах. – 2019. – Т. 9, № 1. – С. 70–74. – DOI: 10.22226/2410-3535-2019-1-70-74. https://doi.org/10.22226/2410-3535-2019-1-70-74
8. Об утверждении Стратегии развития промышленности по обработке, утилизации и обезвреживанию отходов производства и потребления на период до 2030 года : распоряжение Правительства РФ от 25 янв. 2018 г. № 84-р (ред. от 13 окт. 2022 г.) // Собрание законодательства Российской Федерации. – 2018. – № 6. – Ст. 920.
9. Самосудова О. С., Тиманцев Я. А., Тихонов Н. Н., Кассин А. С., Крамарев Д. В. Исследования в области рециклинга композиций на основе поливинилхлорида // Успехи в химии и химической технологии. – 2021. – № 7 (242). – URL: https://cyberleninka.ru/article/n/issledovaniya-v-oblasti-retsiklinga-kompozitsiy-na-osnove-polivinilhlorida
10. Шишкинская В. А., Серенко О. А. Полимерные отходы – новые ресурсы в производстве строительных материалов // Высокомолекулярные соединения. Серия А. – 2024. – Т. 66, № 2. – С. 162–172. – DOI: 10.31857/S2308112024020071. https://doi.org/10.31857/S2308112024020071
11. Slezák E., Ronkay F., Bocz K. Development of an engineering material with increased impact strength and heat resistance from recycled PET // Journal of Polymers and the Environment. – 2023. https://doi.org/10.1007/s10924-023-02945-4
12. Soong Y.-H. V., Sobkowic M. J., Xie D. Recent advances in biological recycling of polyethylene terephthalate (PET) plastic wastes // Bioengineering. – 2022. – Vol. 9, No. 3. – P. 98. https://doi.org/10.3390/bioengineering9030098
13. Viora L., Combeau M., Pucci M. F., Perrin D., Liotier P.-J., Bouvard J.-L., Combeaud C. A comparative study on crystallisation for virgin and recycled polyethylene terephthalate (PET): Multiscale effects on physico-mechanical properties // Polymers. – 2023. – Vol. 15, No. 23. – Art. 4613. https://www.mdpi.com/2073-4360/15/23/4613
14. Weber R. S., Briggs N., Horwatt S. W., Reiding M. K., Strebel J. J. Polymer recycling process : междунар. заявка WO 2025/071544 A1 ; № PCT/US2023/033615 ; заявл. 25.09.2023; опубл. 03.04.2025. – 24 с. https://patents.google.com/patent/WO2025071544A1/en
15. Zhang W., Shen J., Guo X., Wang K., Jia J., Zhao J., Zhang J. Comprehensive investigation into the impact of degradation of recycled polyethylene and recycled polypropylene on the thermo-mechanical characteristics and thermal stability of blends // Molecules. – 2024. – Vol. 29, No. 18. – Art. 4499. https://www.mdpi.com/1420-3049/29/18/4499
